Abstract
Data aggregation is a key process in Machine-to-Machine (M2M) communication networks. Usually, sensor nodes collect data using hierarchical routing structures known as Data Aggregation Trees (DATs). With recent developments, M2M networks use a duty-cycle mode, where sensor nodes periodically sleep, to reduce energy consumption and extend network lifetime. However, this sleeping behavior increases the delay in data aggregation and makes scheduling more challenging. This paper proposes a delay-efficient data aggregation framework based on a Connected Dominating Set (CDS) tree. The proposed method works in two phases. In the first phase, a connected dominating set is constructed by considering the sleeping delays of sensor nodes. In the second phase, a top-down data fusion scheduling algorithm is applied to allow maximum parallel data transmissions. Simulation results show that the proposed approach reduces overall network delay by up to 67% compared to existing methods.
Keywords
Data Aggregation Connected Dominating Set (CDS) Energy Efficiency Duty-Cycle Networks Data Fusion Scheduling Wireless Sensor Networks (WSNs)
1. Introduction
Machine-to-Machine (M2M) communication supports a wide range of applications, including environmental monitoring, industrial automation, cyber–physical systems, healthcare, and the Internet of Things [1]. In such networks, a large number of micro-sensor nodes are deployed over wide areas to continuously collect environmental data and transmit it to a sink node through multi-hop communication paths. Efficient data collection is essential to minimize energy consumption and reduce network latency, as packet transmission and reception are the primary sources of energy depletion in battery-powered sensor nodes.
Advances in low-power wireless radios and energy-efficient hardware have significantly reduced node energy consumption [2]. However, data aggregation delay remains a major challenge, particularly for real-time and industrial applications that require rapid system response to network changes [3]. Excessive aggregation delay can lead to system errors and performance degradation [4]. Such delays are mainly caused by wireless interference, limited channel capacity, and packet collisions, which result in retransmissions and increased energy usage.
To mitigate aggregation delay, various data aggregation schemes have been proposed for M2M networks [5]. These schemes typically rely on data fusion at intermediate nodes to reduce the number of transmitted packets. Minimizing the time required to collect and aggregate data at the sink is known as the minimum-latency aggregation scheduling (MLAS) problem. In duty-cycled wireless sensor networks, where nodes periodically sleep to conserve energy, the problem is extended to duty-cycled MLAS (dc-MLAS) [9], making delay optimization more complex than in always-active networks.
Existing solutions for dc-MLAS generally consist of two stages: construction of a hierarchical routing structure and scheduling of communication links [6]. Routing structures are commonly based on shortest path trees (SPT), connected dominating sets (CDS), or minimum spanning trees (MST) [7]. Transmission priorities are assigned using metrics such as node depth, subtree size, and transmission distance to reduce aggregation latency [8]. However, these approaches often neglect packet collisions caused by wireless interference, which limits their effectiveness.
We assume all nodes have the same transmission and interference range. Packet loss occurs due to two types of collisions: primary and secondary. A primary collision happens when multiple nodes send data to the same receiver at the same time. A secondary collision occurs when two nodes send data to different receivers in the same time slot, but one sender is a neighbor of the other receiver. These collisions are shown in Figure. 1(a–b).
Nodes are scheduled by assigning time slots so they can send data to the sink without collisions. If node u sends data to node v in time slot τ, the link (u, v) is said to be scheduled. The minimum number of time slots needed to collect data from all nodes is called the data aggregation delay (latency) of the network.
The main contributions of this work are as follows:
We propose a CDS-based routing construction algorithm that accounts for pairwise sleeping delays between sensor nodes.
We introduce a top-down scheduling strategy that enables concurrent transmissions to minimize aggregation delay.
We validate the correctness of the proposed algorithms and evaluate their performance through extensive simulations under various scenarios.
The remainder of this paper is organized as follows. Section 2 reviews related work. Section 3 presents the network model and problem formulation. Section 4 describes the CDS construction and scheduling algorithms. Section 5 discusses the simulation setup and results. Finally, Section 6 concludes the paper and outlines future work.
2. Related Work
Data gathering is a fundamental function in IoT and Machine-to-Machine (M2M) communications, where information collected from multiple sensor nodes is used to monitor and control network environments [9]. Such data also supports intelligent decision-making systems, including artificial intelligence applications [9]. Among the key challenges in M2M networks, energy consumption and data aggregation delay play a critical role in overall network performance [10].
Sensor nodes operate with limited battery power and computational capability, making energy efficiency a primary research concern in M2M systems [11]. At the same time, excessive data transmission delay negatively affects network reliability and application performance, especially in time-critical scenarios [12].
Data gathering approaches in M2M networks can be broadly classified into non-duty-cycled and duty-cycled schemes. In non-duty-cycled networks, sensor nodes remain continuously active and forward data to the sink using shortest-path routing methods [13]. While these approaches achieve low aggregation delay, they significantly increase energy consumption and reduce network lifetime.
To reduce energy usage, data aggregation techniques based on clustering have been widely studied [14]. Protocols such as LEACH organize nodes into clusters, where cluster heads collect and forward aggregated data to the sink, thereby reducing overall communication overhead [15]. Although it is effective for energy savings, clustering alone does not adequately address aggregation delay in duty-cycled networks.
In duty-cycled M2M networks, sensor nodes periodically switch between active and sleep states to conserve energy [16]. While this approach greatly improves energy efficiency, it increases data aggregation delay and complicates scheduling [17]. In such networks, channel contention using CSMA/CA can lead to packet collisions and data loss. To address this issue, TDMA-based scheduling has been proposed to allocate conflict-free time slots for data transmission [18]. However, TDMA is better suited for periodic data generation and often requires dynamic cluster-head management.
Several studies have addressed packet loss and transmission failures caused by wireless interference. Retransmission and acknowledgment-based mechanisms have been proposed to improve reliability, though they may further increase delay [19]. Moreover, duty-cycled operation introduces a trade-off between energy consumption and latency, requiring careful balancing [20].
Recent work has explored adaptive duty-cycle control, relay node selection, and learning-based scheduling to reduce aggregation delay in dense networks [21]. Dominating set and connected dominating set (CDS) approaches have also been investigated to optimize network lifetime and data forwarding efficiency [22]. These methods form the basis for constructing efficient routing and scheduling frameworks in duty-cycled M2M networks.
3. Problem Statement and Network Model
The network model and the problem formulation are described in this section.
3.1 Network Model
The Wireless Sensor Network (WSN) is modeled as a connected graph G = (V, E), where V represents the set of uniformly deployed sensor nodes and E represents the set of bidirectional wireless communication links. One node is randomly selected as the sink. All sensor nodes have identical transmission range R and operate in half-duplex mode.
In a duty-cycled WSN, the sink collects data from all sensor nodes. Each sensor aggregates its own data with received data into a single outgoing packet. Supported aggregation functions include MIN, MAX, SUM, AVERAGE, and COUNT.
In duty-cycled M2M communication, sensor nodes periodically switch between active and sleep states. Nodes can transmit or receive packets only during their active slots. A TDMA-based MAC protocol is assumed. Each working period is divided into equal-length time slots τ, where each slot is sufficient for one packet transmission or reception. Network-wide synchronization is achieved using localized methods such as Flooding and Tiny.
For an edge (i, j) ∈ E, node i selects one active time slot A(i) ∈ τ during a working period and remains idle during other slots. The network duty cycle is denoted by δ.
The transmission and interference ranges of all nodes are assumed to be equal. Packet loss occurs due to two types of collisions: (i) primary collision, where multiple nodes transmit to the same receiver simultaneously, and (ii) secondary collision, where two nodes transmit to different receivers in the same slot but interfere with each other.
Time slots are assigned to nodes to ensure collision-free data transmission toward the sink. Scheduling a link (u, v) in a time slot allows node u to transmit data to node v. The minimum number of time slots required to collect data from all nodes is defined as the data aggregation latency.
3.2 Problem Statement
Let G = (V, E) represent a duty-cycled WSN, where V denotes the set of sensor nodes and E denotes the set of wireless links. Let s ∈ V be the sink node that collects data from all other nodes. The objective of the data collection process is to minimize energy consumption and aggregation delays.
Let St ⊆ V denote the set of nodes scheduled to transmit during the tth working period. The aggregation schedule of the network is defined as Γ = {S₁, S₂, …, St}, where t represents the aggregation delay.
The duty-cycled Minimum Time Aggregation Scheduling (dc-MTAS) problem aims to find a schedule Γ such that all transmissions are free from primary and secondary collisions while minimizing T.
The dc-MTAS problem is NP-Hard. Therefore, an optimal solution is impractical. The proposed solution is divided into two phases. In Phase I, a hierarchical routing structure based on a Connected Dominating Set (CDS) is constructed to achieve energy efficiency and delay awareness. In Phase II, a reverse top-down scheduling approach is applied to maximize concurrent collision-free transmissions.
3. Problem Statement and Network Model
The network model and the problem formulation are described in this section.
3.1 Network Model
The Wireless Sensor Network (WSN) is modeled as a connected graph G = (V, E), where V represents the set of uniformly deployed sensor nodes and E represents the set of bidirectional wireless communication links. One node is randomly selected as the sink. All sensor nodes have identical transmission range R and operate in half-duplex mode.
In a duty-cycled WSN, the sink collects data from all sensor nodes. Each sensor aggregates its own data with received data into a single outgoing packet. Supported aggregation functions include MIN, MAX, SUM, AVERAGE, and COUNT.
In duty-cycled M2M communication, sensor nodes periodically switch between active and sleep states. Nodes can transmit or receive packets only during their active slots. A TDMA-based MAC protocol is assumed. Each working period is divided into equal-length time slots τ, where each slot is sufficient for one packet transmission or reception. Network-wide synchronization is achieved using localized methods such as Flooding and Tiny.
For an edge (i, j) ∈ E, node i selects one active time slot A(i) ∈ τ during a working period and remains idle during other slots. The network duty cycle is denoted by δ.
The transmission and interference ranges of all nodes are assumed to be equal. Packet loss occurs due to two types of collisions: (i) primary collision, where multiple nodes transmit to the same receiver simultaneously, and (ii) secondary collision, where two nodes transmit to different receivers in the same slot but interfere with each other.

Time slots are assigned to nodes to ensure collision-free data transmission toward the sink. Scheduling a link (u, v) in a time slot allows node u to transmit data to node v. The minimum number of time slots required to collect data from all nodes is defined as the data aggregation latency.
3.2 Problem Statement
Let G = (V, E) represent a duty-cycled WSN, where V denotes the set of sensor nodes and E denotes the set of wireless links. Let s ∈ V be the sink node that collects data from all other nodes. The objective of the data collection process is to minimize energy consumption and aggregation delay.
Let St ⊆ V denote the set of nodes scheduled to transmit during the tth working period. The aggregation schedule of the network is defined as Γ = {S₁, S₂, …, St}, where t represents the aggregation delay.
The duty-cycled Minimum Time Aggregation Scheduling (dc-MTAS) problem aims to find a schedule Γ such that all transmissions are free from primary and secondary collisions while minimizing T.
The dc-MTAS problem is NP-Hard. Therefore, an optimal solution is impractical. The proposed solution is divided into two phases. In Phase I, a hierarchical routing structure based on a Connected Dominating Set (CDS) is constructed to achieve energy efficiency and delay awareness. In Phase II, a reverse top-down scheduling approach is applied to maximize concurrent collision-free transmissions.
| Symbol | Meaning |
| N(i) | Set of neighbor nodes of node i |
| A(i) | Active time slot of node i |
| τ | Time slots in a working period |
| L_i | Set of nodes at level i |
| CDS Tree | Connected Dominating Set tree |
| p(i, j) | Shortest path between nodes i and j |
| d(i, j) | Sleeping delay between nodes i and j |
| d2d(i) | Minimum latency from node i to upper dominator within 2 hops |
| CD | Set of candidate dominators |
| DS | Set of dominators |
| DE | Set of dominate nodes |
| P(i) | Predecessor of node i |
| C(i) | Set of children of node i |
4. Proposed Scheme
The proposed delay-efficient data aggregation scheduling scheme consists of two phases. Phase I constructs a Connected Dominating Set (CDS) tree, and Phase II applies a top-down scheduling algorithm to minimize data aggregation delay.
4.1 Phase I: Construction of the Connected Dominating Set Tree
In Phase I describe the construction of the CDS tree in three steps. First, a level-order Breadth-First Search (BFS) tree is generated with the sink node as the root. Let i denote the tree level and h denote the depth of the tree. Internal nodes are located between levels 1 and h−1, while external nodes appear at level h.
Internal nodes are classified into dominators (DS) and connectors (CS). Dominators form a Maximal Independent Set (MIS), while connectors ensure connectivity among dominators. All remaining nodes are classified as dominate nodes (DE). Initially, the sink node is included in the dominator set.
In Steps 2 and 3 of In Phase I, the construction proceeds level by level. During each iteration, the sleeping delay between nodes i and j is computed using Equation (1). The total path delay is the sum of sleeping delays of all links along that path.
Let Li denote the set of nodes at level i. Nodes adjacent to the dominator set form the candidate dominator set (CD). Dominators are selected from CD using two-hop neighborhood information, and connectors are chosen along the shortest paths between dominators.
After selecting a dominator, its neighbors are removed from the candidate set. The dominator and connector sets are updated iteratively until the final level is reached. Nodes not included in DS or CS form the dominate set (DE). An example of CDS construction is illustrated in Figure 2 and 3.
(1)
Figure 2 is the given input graph and The Figure 3 shows the final CDS tree for given input graph.


4.2 Phase II: Top-Down Data Aggregation Scheduling
Following CDS tree construction, a top-down data aggregation scheduling strategy is applied. Unlike conventional bottom-up scheduling, which can create congestion near the sink, the top-down approach enables higher concurrency and reduces aggregation delay.
Let T denote the aggregation delay. In time slot t, nodes at distance t from the sink are scheduled to transmit. Algorithm 2 identifies a set of collision-free links for concurrent transmissions.
| Algorithm 2: Top-down Data Aggregation Scheduling | ||
| Input | : | Connected Dominating Set Tree (TCDS) |
| Output | : | A schedule of the data transmissions of all nodes in the data aggregation tree |
| 1 | . | U←V\{s} |
| 2 | . | t←0 |
| 3 | . | S←{s} |
| 4 | . | whileV≠S repeat |
| 5 | . | Pt←{j∈S|Nj∩Ct=∅} |
| 6 | . | Ct←{i∈U|Ni∩S≠∅} |
| 7 | . | t←t+1 |
| 8 | . | M←computesthemaximalmatching(Ct,Pt) |
| 9 | . | for (i,j) in M do |
| 10 | . | S←S∪i |
| 11 | . | U←U\{i} |
| 12 | . | pi←j |
| 13 | . | timeslotu←t |
| 14 | . | end for |
| 15 | . | end while |
| 16 | for U in V do | |
| 17 | . | timeslot(u) ← t + 1 − timeslot(u) |
| 18 | . | End for |
4.3 Conflict Degree
The example of computation of conflict degree is shown in Figure 4, the scheduled nodes are denoted with SN={s,b} and unscheduled nodes UN={a,c,d} and candidate transmissions . It is simple to know the conflict-degree of an edge (a,s)=2 because the edge (a,s) clashes with {(c,s),(c,b)}. Likewise the conflict-degree of {(c,s),(c,b),(d,b)}={3,3,2} respectively is shown in figure 4.
| Algorithm 3: Computation of Conflict-degrees | ||
| Input | : | The set of edges ⊆E , (i,j)∈L |
| Output | : | lL(i,j)∀edges |
| 1 | . | conflict_count=0 |
| 2 | . | for (i0,j0) in L and i0,j0≠i,jdo |
| 3 | . | if i0∈Njorj0∈Nithen |
| 4 | . | conflict_count+=1 |
| 5 | . | end if |
| 6 | . | end for |
| 7 | . | returnconflict_count |

4.4 Minimum Aggregation Time (MAT)
The MAT value depends on the number of descendent nodes that are to be transmitting data to a node, which is indicated by assigning a positive integer value to the nodes. We can also use other metrics such as local heuristics and approximation algorithms; however, the computation of MAT values is relatively faster. The computation of MAT(i), is as follows.
(2)
For the internal nodes, in a sub-tree, the node must know before the MAT values of their children. Let C(i)= is a well-ordered set of children such that .. Assume.
(3)
With constraints (2) and (3), we can compute the MAT (i) as
(4)
The formal computation of the MAT is presented in algorithm 4.
The example of MAT values computed is shown in Figure 5. The following algorithm 5 is used to find the concurrent maximal matching by making use of the conflict degrees of edges and MAT values of the nodes.
4.5 Maximal Matching for Scheduling
Using conflict degree and MAT metrics, Algorithm 5 determines a maximal set of non-conflicting links for concurrent transmissions. This process is repeated until all nodes are scheduled.
For the CDS tree shown in Figure 3, MAT values and conflict degrees are computed first. External nodes transmit in the first time slot, followed by level-wise scheduling toward the sink. The final transmission schedule is shown in Figure 6.
| Algorithm 4: Calculation of MAT | ||
| Input | : | Connected Dominating Set Tree TCDS |
| Output | : | MAT(i),∀i∈V |
| 1 | . | V1←V//Initialization |
| 2 | . | for (MAT(i)=0∀i∈V ; V1≠∅; ) |
| 3 | . | W←{i∈V1|Ci\V1=∅} |
| 4 | . | for i∈Wdo |
| 5 | . | Calculate MAT(i) based on EQ(4) |
| 6 | . | V1←V1\{i} |
| 7 | . | end for |
| 8 | . | end for |

| Algorithm 5: Maximal Matching Algorithm | ||
| Input | : | G=(V,E) and (Ct,Pt) |
| Output | : | The edges free from conflicts |
| 1 | . | L←i,j|(i,j)∈E,j∈Pandi∈C |
| 2 | . | M←∅ |
| 3 | . | whileL≠∅ do |
| 4 | . | Obtain the conflict-degree for the edges in the set L |
| 5 | . | k←min{lLi,j|(i,j)∈L} |
| 6 | . | K←{(i,j)∈L|lLi,j=k} |
| 7 | . | i0,j0←argargmax{(i,j)∈K} |
| 8 | . | MAT(i) |
| 9 | . | M←M∪{(i0,j0)} |
| 10 | . | L←L\{(i0,j0)} |
| 11 | . | Eliminatetheedgesthataredisputewithi0,j0fromtheL |
| 12 | . | end while |
| 13 | . | return M |

5. Simulation Results
The simulation environment is used to evaluate the proposed scheme and compare it with two existing schemes. The first scheme is Layered Construction with Working Period Schedule (LCS + WPS). The second scheme is Minimum Lower-bound Spanning Tree with Neighbour Degree Ranking (MLST + NDR).
The proposed scheme mainly evaluates data aggregation time in the network. The network area is square-shaped, and sensor nodes are randomly placed. The sink node is located at the top-left corner. We assume a centralized network model where all nodes use the same communication channel. Table 2 shows the parameters used in the simulatio
| Parameter | Value |
| G=(V,E) | 300m×300m |
| Transmission Range (R) | 30m |
| Number of Time Slots (τ) | [2-100] |
| Active Slot(u) | Random between [0,(τ-1)] |
| Number of sensors(N) | 1000 |
| Network side length (H) | {2,4,7} |
| Network density (D) | {15,45,85} |
For each setup, the average of 100 simulation results is taken. The simulations analyze aggregation delay by changing the number of nodes, duty cycle, transmission range, and scheduling metrics.
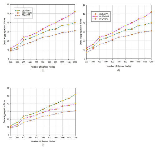
5.1 Impact of Number of Nodes
The number of nodes is varied from 300 to 1200 while keeping the transmission range at 30 m.Duty cycle values are set to 20%, 10%, and 5%. The results show that as the number of nodes increases, the number of working periods also increases. When the duty cycle decreases, aggregation time also decreases. This is because more time slots are available for collision-free transmission. The proposed scheme performs faster data aggregation compared to other schemes. This is due to allowing more nodes to transmit data at the same time without collisions. Overall, the proposed scheme improves performance by up to 59%, 63%, and 64% for different duty cycles as shown in figure 6.
5.2 Impact of Duty Cycle
In duty-cycled networks, a duty cycle of 100% means no sleep time. A duty cycle of 50% means half of the time slots are active. As the duty cycle increases, the number of available time slots decreases. The transmission range is fixed at 30 m, and the number of nodes is fixed. Duty cycle values are varied from 50% to 1%. The results show that lower duty cycles result in lower aggregation delay. The proposed scheme performs better than existing methods with improvements up to 67%, 60%, and 50% as shown in figure 7.
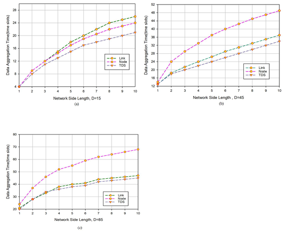
5.3 Impact of Metrics

The two metrics are used in the scheduling algorithm are ink-based metric (conflict degree) and Node-based metric (minimum aggregation time – MAT).
At low network density, MAT performs better with shorter aggregation delay. At high network density, link-based metrics perform slightly better due to reduced secondary collisions. Both metrics show similar performance trends when network side length changes as shown in figure 8.

5.4 Network Side Length
When the network side length is small, there is little difference in aggregation delay. As the side length increases, the aggregation delay slightly increases. This is because nodes closer to the sink have similar aggregation times.

6. Conclusion
The Delay-aware Tree Construction (DTC) and the Top-Down Scheduling (TDS) schemes provide simple and effective methods for delay-aware and collision-free data aggregation in M2M networks with duty cycles. These methods reduce data aggregation delay by considering the sleep delays of nodes in the DTC tree and by using priority metrics, such as node-based and edge-based priorities, in the TDS algorithm.
We also analyzed the time complexity of the proposed algorithms. Both algorithms have time complexity similar to the SA method, and experimental results show that they significantly reduce data aggregation delay.
The proposed solution is designed for centralized networks. In the future, this work can be extended to distributed duty-cycled M2M networks. We also plan to study the sub-tree structure of dominatee nodes in the data aggregation tree and consider more practical interference models, such as physical and protocol interference models.
Conflict of Interest
The authors declare that they have no conflict of interest.
References
- Z. Ning, F. Xia, N. Ullah, X. Kong, and X. Hu, “Vehicular social networks: Enabling smart mobility,” IEEE Communications Magazine, vol. 55, no. 5, pp. 16–55, 2017. DOI: 10.1109/mcom.2017.1600263
- K. Chen, H. Gao, Z. Cai, Q. Chen, and J. Li, “Distributed energy-adaptive aggregation scheduling with coverage guarantee for battery-free wireless sensor networks,” in Proc. IEEE INFOCOM Conf. Computer Communications, Apr. 2019, pp. 1018–1026. DOI: 10.1109/infocom.2019.8737492
- L. Guo, Y. Li, and Z. Cai, “Minimum-latency aggregation scheduling in wireless sensor network,” Journal of Combinatorial Optimization, vol. 31, no. 1, pp. 279–310, 2016. DOI: 10.1007/s10878-014-9748-7
- M. Bagaa, Y. Challal, A. Ksentini, A. Derhab, and N. Badache, “Data aggregation scheduling algorithms in wireless sensor networks: Solutions and challenges,” IEEE Communications Surveys & Tutorials, vol. 16, no. 3, pp. 1339–1368, 2014. DOI: 10.1109/surv.2014.031914.00029
- X. Li, W. Liu, M. Xie, A. Liu, M. Zhao, N. N. Xiong, and W. Dai, “Differentiated data aggregation routing scheme for energy conserving and delay sensitive wireless sensor networks,” Sensors, vol. 18, no. 7, p. 2349, 2018. DOI: 10.3390/s18072349
- F. Wang, W. Liu, T. Wang, M. Zhao, M. Xie, H. Song, and A. Liu, “To reduce delay, energy consumption and collision through optimization duty-cycle and size of forwarding node set in WSNs,” IEEE Access, vol. 7, pp. 55983–56015, 2019. DOI: 10.1109/access.2019.2913885
- C. Tian, H. Jiang, C. Wang, Z. Wu, J. Chen, and W. Liu, “Neither shortest path nor dominating set: Aggregation scheduling by greedy growing tree in multihop wireless sensor networks,” IEEE Transactions on Vehicular Technology, vol. 60, no. 7, pp. 3462–3472, 2011. DOI: 10.1109/tvt.2011.2162086
- Y. Yuan et al., “Compressive sensing-based clustering joint annular routing data gathering scheme for machine-to-machine,” IEEE Access, vol. 7, pp. 114639–114658, 2019. DOI: 10.1109/access.2019.2935462
- Y. Liu et al., “An intelligent incentive mechanism for coverage of data collection in cognitive Internet of Things,” Future Generation Computer Systems, vol. 100, pp. 701–714, 2019. DOI: 10.1016/j.future.2019.04.043
- P. He et al., “Energy-efficient power allocation with individual and sum power constraints,” IEEE Transactions on Wireless Communications, vol. 17, no. 8, pp. 5353–5366, 2018. DOI: 10.1109/twc.2018.2842204
- X. Xiang et al., “Delay and energy-efficient data collection scheme-based matrix filling theory for dynamic traffic IoT,” EURASIP Journal on Wireless Communications and Networking, vol. 2019, no. 1, p. 168, 2019. DOI: 10.1186/s13638-019-1490-5
- Z. Li et al., “Minimizing convergecast time and energy consumption in green Internet of Things,” IEEE Transactions on Emerging Topics in Computing, 2018. DOI: 10.1109/tetc.2018.2844282
- M. Huang et al., “A queuing delay utilization scheme for on-path service aggregation in services-oriented computing networks,” IEEE Access, vol. 7, pp. 23816–23833, 2019. DOI: 10.1109/access.2019.2899402
- Q. Liu et al., “Effective query grouping strategy in clouds,” Journal of Computer Science and Technology, vol. 32, no. 6, pp. 1231–1249, 2017. DOI: 10.1007/s11390-017-1797-9
- M. Aslam et al., “Survey of extended LEACH-based clustering routing protocols for wireless sensor networks,” in Proc. IEEE Int. Conf. High Performance Computing and Communications & IEEE Int. Conf. Embedded Software and Systems, 2012. DOI: 10.1109/hpcc.2012.181
- C. G. Peces, J. Eriksson, and N. Tsiftes, “Sleepy devices versus radio duty cycling: The case of lightweight M2M,” IEEE Internet of Things Journal, vol. 6, no. 2, pp. 2550–2562, 2018. DOI: 10.1109/jiot.2018.2871721
- A. Bhatia and R. C. Hansdah, “A classification framework for TDMA scheduling techniques in WSNs,” arXiv preprint arXiv:2002.00458, 2020. DOI: 10.1109/waina.2014.65
- M. A. Kafi, J. B. Othman, and N. Badache, “A survey on reliability protocols in wireless sensor networks,” ACM Computing Surveys, vol. 50, no. 2, pp. 1–47, 2017. DOI: 10.1145/3064004
- A. Kozłowski and J. Sosnowski, “Energy efficiency trade-off between duty-cycling and wake-up radio techniques in IoT networks,” Wireless Personal Communications, vol. 107, no. 4, pp. 1951–1971, 2019. DOI: 10.1007/s11277-019-06368-0
- S. Sarwar, R. Sirhindi, L. Aslam, G. Mustafa, M. M. Yousaf, and S. W. U. Q. Jaffry, “Reinforcement learning based adaptive duty cycling in LR-WPANs,” IEEE Access, vol. 8, pp. 161157–161174, 2020. DOI: 10.1109/access.2020.3021016
- J. Yu, N. Wang, G. Wang, and D. Yu, “Connected dominating sets in wireless ad hoc and sensor networks—A comprehensive survey,” Computer Communications, vol. 36, no. 2, pp. 121–134, 2013. DOI: 10.1016/j.comcom.2012.10.005